The photos you provided may be used to improve Bing image processing services.
Privacy Policy
|
Terms of Use
Can't use this link. Check that your link starts with 'http://' or 'https://' to try again.
Unable to process this search. Please try a different image or keywords.
Try Visual Search
Search, identify objects and text, translate, or solve problems using an image
Drag one or more images here,
upload an image
or
open camera
Drop images here to start your search
To use Visual Search, enable the camera in this browser
All
Search
Images
Inspiration
Create
Collections
Videos
Maps
News
More
Shopping
Flights
Travel
Notebook
Top suggestions for Time Complexity Calculator
Algorithm
Time Complexity
Exponential
Time Complexity
Algorithmic
Complexity
Best
Time Complexity
Time Complexity
Order
Time Complexity
Notations
Time Complexity
Formula
Time Complexity
Chart
Time Complexity
of Recursion
Time Complexity
Compare
Factorial
Time Complexity
On
Time Complexity
Time Complexity
Java
Time Complexity
in C
Time Complexity
Programming
Big O
Time Complexity Calculator
Algorithm Time Complexity
Cheat Sheet
Time Complexity
Increasing Order
Time Complexity
C++
Time Complexity Calculator
Online
For Loop
Time Complexity
How to Reduce
Time Complexity
Time Complexity
Function Calculator
Summation
Time Complexity
On 3
Time Complexity
Time Complexity
Comparison
Equation of
Time Complexity
Time Complexity
Comparsion
Code
Time Complexity Calculator
Project
Complexity Calculator
Expotnetial
Time Complexity
Time Complexity
Graph
How to Find
Time Complexity
On 2
Time Complexity
Time Complexity
of Loops
Time Complexity
Grap
Time Complexity
Rules
Time-Space Complexity
Cheat Sheet
Different
Time Complexities
Calculate Time Complexity
in Python
RVUs Calculator Time
versus Complexity
Time Complexity
of Attention
Rules for Calculating
Time Complexity
Root of N
Time Complexity in Letters
On 2
Time Complexity Example
Calculate Time Complexity
for Largest of Numbers
Time Complexity
Calculation Equation
Time
Constant Equation
Grun2 Time Calculator
GitHub
How to Calculate Runtime
Complexity
Refine your search for Time Complexity Calculator
Growth Rate
Graph
Comparison
Code
2
Inputs
Algorithm
Explore more searches like Time Complexity Calculator
Bubble
Sort
Matrix
Multiplication
Multiplication
Algorithm
Data
Structure
For
Loop
Comparison
Graph
What Is
Polynomial
Binary
Search
Binary
Tree
Quick
Select
Arithmetic
Series
Quadratic
Probing
Sorting
Algorithms
Heap
Sort
Hash
Table
Square
Root
Merge
Sort
Dijkstra
Algorithm
Ascending
Order
HashMap
Java
Shell
Sort
What Is Binary
Search
Big
Notation
Radix
Sort
Best
Worst
Binary Search
Best Case
Recursive
Fibonacci
Python Data
Structures
Search
Algorithms
Binary
Heap
Graph
Theory
Algorithm
Analysis
Radix Sort
Graph
Selection
Algorithm
What
is
SUM
Function
Queue
DSA
Notations
List
Symbols
Constant
Prims
Run
Hierarchy
People interested in Time Complexity Calculator also searched for
Growth
Chart
Comparison
Table
Heap Data
Structure
Merge Sort
Algorithm
Analysis
Example
Sort
Algorithm
Binary Search
Algorithm
How
Calculate
Graph
Log
While
Loop
vs
Space
Order
Growth
Cases
BFS
Autoplay all GIFs
Change autoplay and other image settings here
Autoplay all GIFs
Flip the switch to turn them on
Autoplay GIFs
Image size
All
Small
Medium
Large
Extra large
At least... *
Customized Width
x
Customized Height
px
Please enter a number for Width and Height
Color
All
Color only
Black & white
Type
All
Photograph
Clipart
Line drawing
Animated GIF
Transparent
Layout
All
Square
Wide
Tall
People
All
Just faces
Head & shoulders
Date
All
Past 24 hours
Past week
Past month
Past year
License
All
All Creative Commons
Public domain
Free to share and use
Free to share and use commercially
Free to modify, share, and use
Free to modify, share, and use commercially
Learn more
Clear filters
SafeSearch:
Moderate
Strict
Moderate (default)
Off
Filter
Algorithm
Time Complexity
Exponential
Time Complexity
Algorithmic
Complexity
Best
Time Complexity
Time Complexity
Order
Time Complexity
Notations
Time Complexity
Formula
Time Complexity
Chart
Time Complexity
of Recursion
Time Complexity
Compare
Factorial
Time Complexity
On
Time Complexity
Time Complexity
Java
Time Complexity
in C
Time Complexity
Programming
Big O
Time Complexity Calculator
Algorithm Time Complexity
Cheat Sheet
Time Complexity
Increasing Order
Time Complexity
C++
Time Complexity Calculator
Online
For Loop
Time Complexity
How to Reduce
Time Complexity
Time Complexity
Function Calculator
Summation
Time Complexity
On 3
Time Complexity
Time Complexity
Comparison
Equation of
Time Complexity
Time Complexity
Comparsion
Code
Time Complexity Calculator
Project
Complexity Calculator
Expotnetial
Time Complexity
Time Complexity
Graph
How to Find
Time Complexity
On 2
Time Complexity
Time Complexity
of Loops
Time Complexity
Grap
Time Complexity
Rules
Time-Space Complexity
Cheat Sheet
Different
Time Complexities
Calculate Time Complexity
in Python
RVUs Calculator Time
versus Complexity
Time Complexity
of Attention
Rules for Calculating
Time Complexity
Root of N
Time Complexity in Letters
On 2
Time Complexity Example
Calculate Time Complexity
for Largest of Numbers
Time Complexity
Calculation Equation
Time
Constant Equation
Grun2 Time Calculator
GitHub
How to Calculate Runtime
Complexity
1200×1170
langbase.com
examples/time-complexity-calculato…
1200×630
langbase.com
examples/time-complexity-calculator · Time Complexity Calculator ...
1200×600
github.com
GitHub - abhinav2712/TimeComplexityCalculator: Ti…
1854×350
github.com
GitHub - abhinav2712/TimeComplexityCalculator: Ti…
Related Products
Big O Notation Book
Introduction to Algorithms 3r…
Introduction to Algorithms Book
1024×768
copyassignment.com
Python Time Complexity Calculator – CopyAssignment
927×201
copyassignment.com
Python Time Complexity Calculator – CopyAssignment
1200×675
blog.techh.dev
Data structures complexity calculator. Big O cheat sheet - Techh Blog
1200×617
whscompsciclub.github.io
Time Complexity | WHS Comp. Sci. Club
804×851
santosh-1987.github.io
Time Complexity - Programming Fundamentals
746×575
brunofuga.adv.br
Big O Notation Time Complexity Of An Algorithm, 53% OFF
640×480
brunofuga.adv.br
Big O Cheat Sheet – Time Complexity Chart, 57% OFF
Refine your search for
Time Complexity Calculator
Growth Rate Graph
Comparison
Code
2 Inputs
Algorithm
1000×400
unstop.com
A Guide To Time Complexity Of Algorithms (Updated) // Unstop
848×592
blog.teclado.com
Time complexity and BigO Notation explained (with Python)
1620×2096
studypool.com
SOLUTION: Time complexity big …
832×525
paulonteri.com
Complexity Analysis & Big O | DSA | PaulOnteri.com
800×929
www.linux.com
Algorithm Time Complexity and …
901×221
freecodecamp.org
Big O Cheat Sheet – Time Complexity Chart
1024×731
knovhov.com
Time Complexity: Big O Notation Fastest To Slowest …
880×879
artofit.org
Big o notation understanding time …
878×574
github.com
GitHub - ReaVNaiL/Big-O-Complexity-Cheat-Sheet: A com…
1358×1053
blog.devgenius.io
Time Complexity, Space Complexity, and Big O Notation …
900×598
Stack Overflow
python - Time complexity of a sliding window question - Stack Overflow
1024×581
felixrante.com
Time Complexity of Algorithms: Big O Notation Made Easy - FelixRante
880×748
www.pinterest.com
Introduction to Time Complexity of Algorithms
640×400
tc-calculator.en.softonic.com
tc-calculator for Google Chrome - Extension Download
1280×720
linkedin.com
Understanding Time Complexity of Algorithms (Big O)
1200×600
referbruv.com
Understanding Time Complexity and Big O notation in Algorithms
687×437
scholarhat.com
Big O Notation in Data Structure: Time and Space Complexity
Explore more searches like
Time Complexity
Calculator
Bubble Sort
Matrix Multiplication
Multiplication Algorithm
Data Structure
For Loop
Comparison Graph
What Is Polynomial
Binary Search
Binary Tree
Quick Select
Arithmetic Series
Quadratic Probing
1620×451
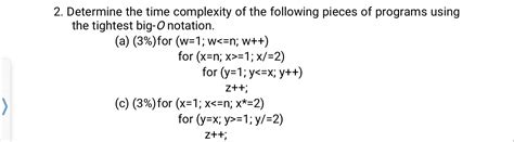
chegg.com
Solved Determine the time complexity of the following pieces | Chegg.com
977×308
chegg.com
Solved Compute the time complexity in terms of Big-O for the | Chegg.com
700×360
chegg.com
Solved Estimate time complexity of the following using Big O | Chegg.com
853×657
chegg.com
Solved INDIVIDUAL ASSIGNMENT!ESTIMATE …
700×505
chegg.com
Solved Write the time complexity of the following algorithm | Ch…
940×348
scholarhat.com
Big O Notation in Data Structure: Time and Space Complexity
700×360
chegg.com
Solved Estimate time complexity of the following using Big O | Chegg.com
Some results have been hidden because they may be inaccessible to you.
Show inaccessible results
Report an inappropriate content
Please select one of the options below.
Not Relevant
Offensive
Adult
Child Sexual Abuse
Feedback