The photos you provided may be used to improve Bing image processing services.
Privacy Policy
|
Terms of Use
Can't use this link. Check that your link starts with 'http://' or 'https://' to try again.
Unable to process this search. Please try a different image or keywords.
Try Visual Search
Search, identify objects and text, translate, or solve problems using an image
Drag one or more images here,
upload an image
or
open camera
Drop images here to start your search
To use Visual Search, enable the camera in this browser
All
Search
Images
Inspiration
Create
Collections
Videos
Maps
News
More
Shopping
Flights
Travel
Notebook
Top suggestions for Formule Du Gradient
Gradient
Hydraulique
Laplacien
Gradient
Definition
Gradient
of F
Gradient
Vector Formula
Gradient
Math
Gradient
1:2
Equation for
Gradient
Grad
F
Le
Gradient
Formule Gradient
E Gradient
V
Gradient
D
Descente De
Gradient
Gradient
Geothermique
Gradient
Descent Fórmula
Gradient
Critique
Gradient
Vector Calculus
Gradient
Divergence and Curl
Laplacien
Vectoriel
Methode
Du Gradient
Operateur
Gradient
Coordonnees
Polaires
Gradient
Vector Notation
Gradient
D'un Vecteur
Explosion
Du Gradient
Rotationnel
Divergence D'un
Vecteur
Gradient
Descent Algorithm
Future Gradient
Formula
Coordonnees
Spheriques
Parallel Lines
Gradient
Gradient
Is Delat Y
Gradient
Maths Formule
Gradient
De Temperature
Gradient
Mathématique
How to Calculate the
Gradient of a Line
Le Gradient
Géothermique
Gradient
Descent Convergence
Gradient
En Coordonnées Sphériques
Volume Gradient
Math
Gradient Du
Chapmps Scalaire
Gradient
Del Formula Maths
Radient
Dsecent
Gradients
Vectorielle Formule
Gradient
Operaytor Multiplication
Formulaire
Gradient
Calcule De Gradient
Machine Learning
Laplacien
Cylindrique
Rotationel
Explore more searches like Formule Du Gradient
Graphic
Design
Black
White
RGB
Color
Equation
Formula
Straight
Line
Background
Design
Blue
Purple
Light
Blue
Sky Blue
Color
Background
Images
Straight-Line
Graphs
Multicolor
Blue
Orange
Wallpaper
4K
Earth
Science
Blur
Wallpaper
Color
Theme
Cool
Green
Vector
Art
Light
Green
Dark Blue
Color
May
Colors
Descent
Animation
Background
for Website
Color
Grid
Colors for
Kids
Gradient Color
Palette
What
is
Blue
Green
Blue
Background
Phone
Wallpaper
Yellow-Green
Pink
Yellow
Light
Purple
Background
Wallpaper
Red/Yellow
Dark Blue
Black
Line
PNG
Dots
PNG
Bifrost
Color
Simple
Background
Vector
Background
Different
Shapes
Background
4K
Wall
Paint
Dark
Purple
Website
Background
People interested in Formule Du Gradient also searched for
Red
Black
Blue-White
Sunset
Colors
Red
Blue
Red White
Blue
Line
Equation
Purple
Orange
Autoplay all GIFs
Change autoplay and other image settings here
Autoplay all GIFs
Flip the switch to turn them on
Autoplay GIFs
Image size
All
Small
Medium
Large
Extra large
At least... *
Customized Width
x
Customized Height
px
Please enter a number for Width and Height
Color
All
Color only
Black & white
Type
All
Photograph
Clipart
Line drawing
Animated GIF
Transparent
Layout
All
Square
Wide
Tall
People
All
Just faces
Head & shoulders
Date
All
Past 24 hours
Past week
Past month
Past year
License
All
All Creative Commons
Public domain
Free to share and use
Free to share and use commercially
Free to modify, share, and use
Free to modify, share, and use commercially
Learn more
Clear filters
SafeSearch:
Moderate
Strict
Moderate (default)
Off
Filter
Gradient
Hydraulique
Laplacien
Gradient
Definition
Gradient
of F
Gradient
Vector Formula
Gradient
Math
Gradient
1:2
Equation for
Gradient
Grad
F
Le
Gradient
Formule Gradient
E Gradient
V
Gradient
D
Descente De
Gradient
Gradient
Geothermique
Gradient
Descent Fórmula
Gradient
Critique
Gradient
Vector Calculus
Gradient
Divergence and Curl
Laplacien
Vectoriel
Methode
Du Gradient
Operateur
Gradient
Coordonnees
Polaires
Gradient
Vector Notation
Gradient
D'un Vecteur
Explosion
Du Gradient
Rotationnel
Divergence D'un
Vecteur
Gradient
Descent Algorithm
Future Gradient
Formula
Coordonnees
Spheriques
Parallel Lines
Gradient
Gradient
Is Delat Y
Gradient
Maths Formule
Gradient
De Temperature
Gradient
Mathématique
How to Calculate the
Gradient of a Line
Le Gradient
Géothermique
Gradient
Descent Convergence
Gradient
En Coordonnées Sphériques
Volume Gradient
Math
Gradient Du
Chapmps Scalaire
Gradient
Del Formula Maths
Radient
Dsecent
Gradients
Vectorielle Formule
Gradient
Operaytor Multiplication
Formulaire
Gradient
Calcule De Gradient
Machine Learning
Laplacien
Cylindrique
Rotationel
594×243
researchgate.net
74: Descente du gradient : (a) calcul du gradient au point courant ...
862×862
Corbettmaths
Gradient Video – Corbettmaths
1280×720
fity.club
Gradient Formula
640×480
slideshare.net
The gradient formula | PPT
Related Products
Formula Milk Dispenser
Mathematics Books
Formula Milk Powder
545×397
cuemath.com
Gradient of a Line - Formula, Definition, Examples
670×490
schooluniguide.com
How to find the Gradient of a Line | Formula and Examples
736×414
www.pinterest.com
How to Calculate the Gradient of a Function
1024×768
slideserve.com
PPT - The Gradient Formula PowerPoint Presentation, free d…
680×512
researchgate.net
figure3 : l'évolution du gradient. qui montre que l'évolution du ...
1363×1151
techblog.deepki.com
Régression et descente de gradient | Deepki Techblog
1280×720
fity.club
Calculus Formula To Create A Radial Gradient Mathematics Stack Exchange
Explore more searches like
Formule Du
Gradient
Graphic Design
Black White
RGB Color
Equation Formula
Straight Line
Background Design
Blue Purple
Light Blue
Sky Blue Color
Background Images
Straight-Line Graphs
Multicolor
1056×600
fity.club
Calculus Formula To Create A Radial Gradient Mathematics Stack Exchange
1454×800
apprendre-le-deep-learning.com
Comprendre comment marche la méthode du gradient - Apprendre le Deep ...
276×180
ilemaths.net
Algorithme Du Gradient - forum mathématiques - …
GIF
600×600
charlesbordet.com
Comprendre la descente de gradient en 3 étapes et 12 des…
GIF
600×600
charlesbordet.com
Comprendre la descente de gradient en 3 étapes …
548×344
ilemaths.net
Norme du gradient - Forum mathématiques Master analyse - 608690 - 608690
720×540
slidetodoc.com
Gradient dune fonction Gnralits La notion de gradient
720×540
slidetodoc.com
Gradient dune fonction Gnralits La notion de gradient
720×540
slidetodoc.com
Gradient dune fonction Gnralits La notion de gradient
588×165
researchgate.net
Différentes propositions de calcul de la norme du gradient avec les ...
1024×768
slideserve.com
PPT - Gradient d’une fonction PowerPoint Presentation, free download ...
1024×768
slideserve.com
PPT - Gradient d’une fonction PowerPoint Presentation, free …
1024×768
slideserve.com
PPT - Gradient d’une fonction PowerPoint Presentation, free downl…
1024×768
slideserve.com
PPT - Gradient d’une fonction PowerPoint Presentation, free downl…
1024×768
slideserve.com
PPT - Gradient d’une fonction PowerPoint Presentation, free downl…
1024×768
slideserve.com
PPT - Gradient d’une fonction PowerPoint Presentation, free downl…
People interested in
Formule Du
Gradient
also searched for
Red Black
Blue-White
Sunset Colors
Red Blue
Red White Blue
Line Equation
Purple Orange
1024×768
slideserve.com
PPT - Gradient d’une fonction PowerPoint Presentation, free …
1024×1200
aquaportail.com
Gradient : définition et explications
1020×121
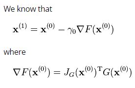
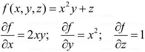
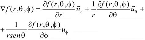
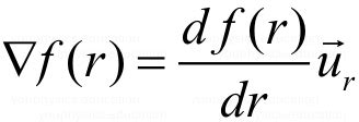
youphysics.education
Gradient d’une fonction scalaire
328×112
youphysics.education
Gradient d’une fonction scalaire
920×258
youphysics.education
Gradient d’une fonction scalaire
553×201
youphysics.education
Gradient d’une fonction scalaire
1020×121
youphysics.education
Gradient d’une fonction scalaire
328×112
youphysics.education
Gradient d’une fonction scalaire
Some results have been hidden because they may be inaccessible to you.
Show inaccessible results
Report an inappropriate content
Please select one of the options below.
Not Relevant
Offensive
Adult
Child Sexual Abuse
Feedback