The photos you provided may be used to improve Bing image processing services.
Privacy Policy
|
Terms of Use
Can't use this link. Check that your link starts with 'http://' or 'https://' to try again.
Unable to process this search. Please try a different image or keywords.
Try Visual Search
Search, identify objects and text, translate, or solve problems using an image
Drag one or more images here,
upload an image
or
open camera
Drop images here to start your search
To use Visual Search, enable the camera in this browser
All
Search
Images
Inspiration
Create
Collections
Videos
Maps
News
More
Shopping
Flights
Travel
Notebook
Top suggestions for Backtracking Problems with Subset
Sum of
Subsets Backtracking
Backtracking
Algorithm
Backtracking
Line Search
Backtracking
Maths
Backtracing
Sum of
Subset Problem Using Backtracking
Backtracking
Example
Graph Coloring
Backtracking
Backtracking
Algebra
N Queen Problem
Using Backtracking Algorithm
Backtracking
Maze
What Is
Backtracking
Recursion vs
Backtracking
Constraint Satisfaction
Problem Backtracking
Backtracking
Method
4 Queen
Problem
8 Queen
Problem Using Backtracking
Algoritma
Backtracking
Catastrophic
Backtracking
Backtracking
in Daa
N Queens
Problem Using Backtracking
Backtracking
C++
Backtracking
Worksheet
Backtracking
C
Backtracking
C++ Syntax
Backtracking
Meme
Sudoku
Backtracking
Backtracking
Questions
Backtracking
in Speech
Knapsack Using
Backtracking
PIP
Backtracking
Backtracking
Techniques
Backtracking
Creates a Search Tree
Backtracking
PPT
Hamiltonian Circuit
Problem
Packing Coloring
Problem
Definition of
Backtracking
Informatica
Backtracking
Recursive
Backtracking
Graph Colouring Algorithm Using
Backtracking
0-1 Knapsack Problem Algorithm
Backtracking
Meaning
Fibonacci Dynamic
Programming
Efficiency of
Backtracking
Backtracking
Mme
Backtracking
Simple Example
Backtracking
Solved Problems
Backtracking
in Data Structure
Flowchart N Queens
Problem Backtracking
Backtracking
Template
Explore more searches like Backtracking Problems with Subset
Data
Structure
Sudoku
4x4
Algorithm
Diagram
Rat
Maze
C++
Code
Human
Condition
Block
Map
Computer
Science
Algorithm
Meme
Algorithm
Illustration
How
Use
Clip
Art
Algorithm
Flowchart
RNA
Polymerase
Algorithm
Icon
Machine
Learning
Data
Trace
Algorithm Time
Complexity
3
Keys
Search
Algorithm
Text/Images
Eric Clapton Wonderful
Tonight
Simple
Example
Tree
Maze
Algorithm
PNG
State Space
Tree
Program
For
Recursive
Formula
Root
Diagram
Code
Example
System
Software
Game
Definition
CS
Technique
Programming
aLgorithm
Or
Recursion
Applications
Mme
TV
Tropes
Audio
Prolog
Animation
Queen
Phun's
People interested in Backtracking Problems with Subset also searched for
Algorithm
Cartoon
Cheat
Sheet
Permutasi
Metode
Difference Between
Recursion
Ann
PPT
Un-Choose
Tle
Examples
Prblm
MaA
Gia
Activity
Mental
Inverse
Autoplay all GIFs
Change autoplay and other image settings here
Autoplay all GIFs
Flip the switch to turn them on
Autoplay GIFs
Image size
All
Small
Medium
Large
Extra large
At least... *
Customized Width
x
Customized Height
px
Please enter a number for Width and Height
Color
All
Color only
Black & white
Type
All
Photograph
Clipart
Line drawing
Animated GIF
Transparent
Layout
All
Square
Wide
Tall
People
All
Just faces
Head & shoulders
Date
All
Past 24 hours
Past week
Past month
Past year
License
All
All Creative Commons
Public domain
Free to share and use
Free to share and use commercially
Free to modify, share, and use
Free to modify, share, and use commercially
Learn more
Clear filters
SafeSearch:
Moderate
Strict
Moderate (default)
Off
Filter
Sum of
Subsets Backtracking
Backtracking
Algorithm
Backtracking
Line Search
Backtracking
Maths
Backtracing
Sum of
Subset Problem Using Backtracking
Backtracking
Example
Graph Coloring
Backtracking
Backtracking
Algebra
N Queen Problem
Using Backtracking Algorithm
Backtracking
Maze
What Is
Backtracking
Recursion vs
Backtracking
Constraint Satisfaction
Problem Backtracking
Backtracking
Method
4 Queen
Problem
8 Queen
Problem Using Backtracking
Algoritma
Backtracking
Catastrophic
Backtracking
Backtracking
in Daa
N Queens
Problem Using Backtracking
Backtracking
C++
Backtracking
Worksheet
Backtracking
C
Backtracking
C++ Syntax
Backtracking
Meme
Sudoku
Backtracking
Backtracking
Questions
Backtracking
in Speech
Knapsack Using
Backtracking
PIP
Backtracking
Backtracking
Techniques
Backtracking
Creates a Search Tree
Backtracking
PPT
Hamiltonian Circuit
Problem
Packing Coloring
Problem
Definition of
Backtracking
Informatica
Backtracking
Recursive
Backtracking
Graph Colouring Algorithm Using
Backtracking
0-1 Knapsack Problem Algorithm
Backtracking
Meaning
Fibonacci Dynamic
Programming
Efficiency of
Backtracking
Backtracking
Mme
Backtracking
Simple Example
Backtracking
Solved Problems
Backtracking
in Data Structure
Flowchart N Queens
Problem Backtracking
Backtracking
Template
768×1024
scribd.com
L25 Backtracking …
768×1024
scribd.com
Backtracking: Sum of Subset…
720×540
slidetodoc.com
Backtracking And Branch And Bound Subset Permu…
768×1024
scribd.com
Module 1 Backtracking …
Related Products
Algorithm Book
Backtracking Puzzles
Introduction to Algorith…
640×360
slideshare.net
sum of subset problem using Backtracking | PPTX
638×359
slideshare.net
sum of subset problem using Backtracking | PPTX
1280×720
hello-algo.com
13.3 Subset-Sum Problem - Hello Algo
1280×720
hello-algo.com
13.3 Subset-Sum Problem - Hello Algo
320×180
slideshare.net
sum of subset problem using Backtracking | PPTX
2048×1152
slideshare.net
sum of subset problem using Backtracking | PPTX
2048×1152
slideshare.net
sum of subset problem using Backtracking | PPTX
320×180
slideshare.net
Unit 5-BACKTRACKING- n queens, sum of subset, grap…
Explore more searches like
Backtracking
Problems with Subset
Data Structure
Sudoku 4x4
Algorithm Diagram
Rat Maze
C++ Code
Human Condition
Block Map
Computer Science
Algorithm Meme
Algorithm Illustration
How Use
Clip Art
320×180
slideshare.net
Unit 5-BACKTRACKING- n queens, sum of subset, graph coloring pro…
320×180
slideshare.net
Unit 5-BACKTRACKING- n queens, sum of subset, graph coloring pro…
320×180
slideshare.net
Unit 5-BACKTRACKING- n queens, sum of subset, graph coloring pro…
640×360
slideshare.net
Unit 5-BACKTRACKING- n queens, sum of subset, graph coloring problems ...
700×704
researchgate.net
Backtracking the coding subsequences for sub…
1620×2461
studypool.com
SOLUTION: Subset sum pr…
1620×2530
studypool.com
SOLUTION: Subset sum pr…
638×359
SlideShare
sum of subset problem using Backtracking | PPT
2048×1152
SlideShare
sum of subset problem using Backtracking
2100×1500
favtutor.com
Backtracking Algorithm & 10 Popular Problems in C++
2100×1500
favtutor.com
Backtracking Algorithm & 10 Popular Problems in C++
1104×72
chegg.com
Solved Apply backtracking to solve the subset-sum problem | Chegg.com
2169×520
chegg.com
Solved Use backtracking (showing the tree) to find a subset | Chegg.com
797×612
algorithmroom.com
Backtracking Algorithm - Algorithm Room
801×192
chegg.com
Solved Q4 Apply backtracking to find a subset of numbers | Chegg.com
People interested in
Backtracking
Problems with Subset
also searched for
Algorithm Cartoon
Cheat Sheet
Permutasi
Metode
Difference Between Rec
…
Ann PPT
Un-Choose
Tle Examples
Prblm
MaA Gia
Activity Mental
Inverse
1200×711
medium.com
How to print subset of array using backtracking. | by liquid | Medium
1024×768
SlideServe
PPT - Backtracking PowerPoint Presentation, free download - I…
1024×768
SlideServe
PPT - Backtracking PowerPoint Presentation, free download - I…
1454×686
chegg.com
Solved In class, we saw a backtracking algorithm for solving | Chegg.com
778×181
chegg.com
Solved Build the sum-of-subset solution using backtracking | Chegg.com
2089×1000
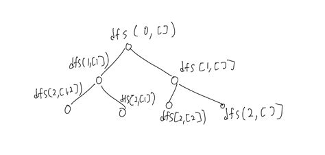
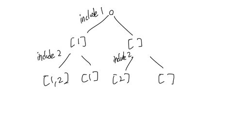
mingilee98.github.io
[Backtracking] What is Backtracking? / Subsets - MingiLog
1731×1000
mingilee98.github.io
[Backtracking] What is Backtracking? / Subsets - MingiLog
600×403
adeveloperdiary.com
Backtracking - Subsets | A Developer Diary
Some results have been hidden because they may be inaccessible to you.
Show inaccessible results
Report an inappropriate content
Please select one of the options below.
Not Relevant
Offensive
Adult
Child Sexual Abuse
Feedback