The photos you provided may be used to improve Bing image processing services.
Privacy Policy
|
Terms of Use
Can't use this link. Check that your link starts with 'http://' or 'https://' to try again.
Unable to process this search. Please try a different image or keywords.
Try Visual Search
Search, identify objects and text, translate, or solve problems using an image
Drag one or more images here,
upload an image
or
open camera
Drop images here to start your search
To use Visual Search, enable the camera in this browser
All
Search
Images
Inspiration
Create
Collections
Videos
Maps
News
More
Shopping
Flights
Travel
Notebook
Top suggestions for MLT Sample Size
MLT
Lab
MLT
Logo
BSc
MLT
MLT
Courses
MLT
Test
MLT
Program
MLT
Full Form
MLT
Table
MLT
Systems
MLT
Energy
MLT-
3
MLT
Degree
MLT
Units
MLS vs
MLT
MLT
Exam
MLT
Country
Mlt
Jobs
MLT
Testing
MLT
Tool
MLT
Power
MLT
Alumni
HK MLT
Leisince
MLT
Flex Logo
MLT
Microbiology
MLT
Test Procedure
MLT
Sign
MLT
Career Prep
Prism
MLT
MLT
Textbooks
MLT
Group
MLT
Group Catalog
MLT
Clip Art
MLT
Lab Design
MLT
Certificate
MLT
Diversity Program
MLT
PNG
MLT
Course Logo
Experience
MLT
MLT
Logo Transparent
MLT
Motorsports
MLT
System of Units
MLT
Imaige
Workload of
MLT
Medical Laboratory
MLT
MLT
Fisika
MLT
Background
MLT
Theta Table
MLT
Gene
MLT
Course Subject
Ethics of
MLT
Explore more searches like MLT Sample Size
Clip
Art
Course
Logo
Medical
Laboratory
Letter
Logo
Career
Prep
Full
Form
Study Guide
PDF
Flex
Logo
Size
5
Course
Outline
1
Logo
Navy
Logo
Course
Poster
Trading
Corp
Law
Logo
Pressure
Dimensions
Lab
Logo
VHSE Textbooks
PDF First Year
Logo
png
Plastic
Tube
Power
Logo
Information
Poster
Looking into
Microscope
Dimension
Chart
Truck
Logo
What
Meaning
Jobs Near
Me
Security
Services
Pavilion
Logo
Sample
Size
System
Dimensions
Name 3 Lab
Techniques
MLS
Graphic
Logo.jpg
Logo
Design
eSports
Logo
Clip Art
Images
Superior
University
Cry Pto
Logo
Full
Information
Book
PDF
Management Leadership
for Tomorrow
Symbol
Systems
D205L
D103L
Trading
LTD
Subjects
Names
Company
People interested in MLT Sample Size also searched for
Group
Logo.png
Logo for
Invoice
Murphy
Logo
Study
Material
What Is
Meaning
Transport
Logo
D203u
Course
Details
d104s
Meaning
3000
Maha
Logo
Inspo
ICO
D105L
Toner
R309
Autoplay all GIFs
Change autoplay and other image settings here
Autoplay all GIFs
Flip the switch to turn them on
Autoplay GIFs
Image size
All
Small
Medium
Large
Extra large
At least... *
Customized Width
x
Customized Height
px
Please enter a number for Width and Height
Color
All
Color only
Black & white
Type
All
Photograph
Clipart
Line drawing
Animated GIF
Transparent
Layout
All
Square
Wide
Tall
People
All
Just faces
Head & shoulders
Date
All
Past 24 hours
Past week
Past month
Past year
License
All
All Creative Commons
Public domain
Free to share and use
Free to share and use commercially
Free to modify, share, and use
Free to modify, share, and use commercially
Learn more
Clear filters
SafeSearch:
Moderate
Strict
Moderate (default)
Off
Filter
MLT
Lab
MLT
Logo
BSc
MLT
MLT
Courses
MLT
Test
MLT
Program
MLT
Full Form
MLT
Table
MLT
Systems
MLT
Energy
MLT-
3
MLT
Degree
MLT
Units
MLS vs
MLT
MLT
Exam
MLT
Country
Mlt
Jobs
MLT
Testing
MLT
Tool
MLT
Power
MLT
Alumni
HK MLT
Leisince
MLT
Flex Logo
MLT
Microbiology
MLT
Test Procedure
MLT
Sign
MLT
Career Prep
Prism
MLT
MLT
Textbooks
MLT
Group
MLT
Group Catalog
MLT
Clip Art
MLT
Lab Design
MLT
Certificate
MLT
Diversity Program
MLT
PNG
MLT
Course Logo
Experience
MLT
MLT
Logo Transparent
MLT
Motorsports
MLT
System of Units
MLT
Imaige
Workload of
MLT
Medical Laboratory
MLT
MLT
Fisika
MLT
Background
MLT
Theta Table
MLT
Gene
MLT
Course Subject
Ethics of
MLT
768×1024
scribd.com
MLT Validation | PDF | Microorganism | …
768×1024
scribd.com
MLT Validation Protocol | PDF | Gr…
768×1024
scribd.com
MLT Machine Learning | PDF | M…
320×320
researchgate.net
Chromatogram of the MLT control sample solution. | D…
Related Products
Lab Coat
Sandwich Maker
T-Shirt
1714×2158
mometrix.com
MLT Practice Test (updated 2023) ML…
2100×2100
cfholbert.com
Sample Size Determination for Corre…
600×193
researchgate.net
The particle size and size distribution of (a) MLT-ELs and (b) Blank ...
495×640
slideshare.net
Mlt | DOCX
850×460
researchgate.net
In vitro release profile of MLT from SLN dispersion versus free MLT. n ...
320×320
researchgate.net
In vitro release profile of MLT from SLN dispersi…
640×640
researchgate.net
In vitro release profile of MLT from SLN dispersi…
2181×1163
die-mobilen.de
Grt Sample Size Calculator – What Is Sample Size – QIZR
823×389
researchgate.net
-An overview of the MLT processes | Download Scientific Diagram
Explore more searches like
MLT
Sample Size
Clip Art
Course Logo
Medical Laboratory
Letter Logo
Career Prep
Full Form
Study Guide PDF
Flex Logo
Size 5
Course Outline
1 Logo
Navy Logo
1520×440
chegg.com
Solved For all problems, use the MLT system of dimensions, | Chegg.com
320×320
ResearchGate
Units of some size according to the FLT and MLT systems | Do…
850×885
researchgate.net
Distribution of test items in MLT [35]. | …
850×340
researchgate.net
In vitro MLT release assays, showing (a) the standard curve of the MLT ...
850×535
researchgate.net
Brief introduction to MLT. | Download Scientific Diagram
320×320
researchgate.net
Brief introduction to MLT. | Download Scientific Diagr…
850×606
researchgate.net
The sample size used in ML algorithms | Download Scientific Diagram
850×561
researchgate.net
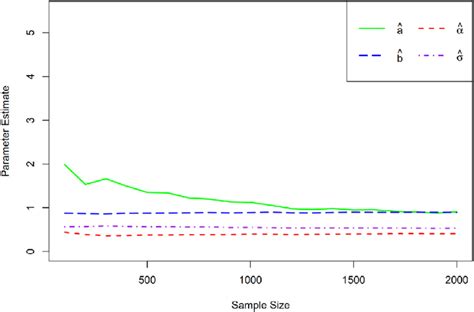
Estimated MLEs against sample size. | Download Scientific Diagram
850×412
researchgate.net
MLE sampling distributions for sample size T = 100. | Download ...
320×320
researchgate.net
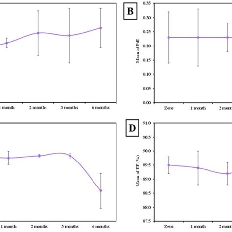
Mean quality of life (MLT) scores by tim…
720×528
researchgate.net
Cumulative percentage of the MLT population as a function o…
525×525
researchgate.net
MLE sampling distributions for samp…
640×640
researchgate.net
MLE sampling distributions for samp…
850×171
researchgate.net
Variables and their corresponding dimensions in the MLT system for the ...
850×684
researchgate.net
Sample size required with the original design. MNL model | Do…
640×640
researchgate.net
HPLC of MLT [0.1 µg/ml , retention time =16 min ].T…
850×646
researchgate.net
Optimal sample size for the tests based on MLE and MPLE with varyi…
People interested in
MLT
Sample Size
also searched for
Group Logo.png
Logo for Invoice
Murphy Logo
Study Material
What Is Meaning
Transport Logo
D203u
Course Details
d104s
Meaning
3000 Maha
Logo Inspo
850×638
researchgate.net
3 MLT models for drug discovery and manufacturing, a Support Vector ...
320×320
researchgate.net
3 MLT models for drug discovery and manufactur…
600×339
pharmaguidehub.com
Download Microbial Limit Test (MLT) validation Protocol – PharmaGuideHub
728×551
researchgate.net
In the top, the photos of some of the MLT realized. In (a), the ...
850×646
researchgate.net
Optimal sample size for the tests based on MLE and MPLE with varyi…
Some results have been hidden because they may be inaccessible to you.
Show inaccessible results
Report an inappropriate content
Please select one of the options below.
Not Relevant
Offensive
Adult
Child Sexual Abuse
Feedback