The photos you provided may be used to improve Bing image processing services.
Privacy Policy
|
Terms of Use
Can't use this link. Check that your link starts with 'http://' or 'https://' to try again.
Unable to process this search. Please try a different image or keywords.
Try Visual Search
Search, identify objects and text, translate, or solve problems using an image
Drag one or more images here,
upload an image
or
open camera
Drop images here to start your search
To use Visual Search, enable the camera in this browser
All
Search
Images
Inspiration
Create
Collections
Videos
Maps
News
More
Shopping
Flights
Travel
Notebook
Top suggestions for Step Function Differential Equations
Step Function Equation
Unit
Step Function Differential Equations
Step Function
Example Equation
Heaviside
Function Differential Equations
Unit Step
Graph
La Place
Differential Equation
Linear Ordinary
Differential Equations
Periodic
Step Function Equation
Laplace Transform
Differential Equations
Step Function
Examples La Place
Step Size
Differential Equation
Separable
Differential Equations
Step Function
Transformations
Differential Equation
Types
Heavy
Step Function Equation
Unit Step Function
Graph Calculator
Differential Equations Steps
Solving
Differential Equations
Solve Differential Equation Step
By
Function
with Different Equations
Graphic of One
Step Method Differential
Graphing
Differential Equations
A Differential Equation
with a Unit Step Input
First Order
Differential Equation
Scaled Unit
Step Function Equation
Step Down Function Equation
Format
Typs of
Differential Equations
Bueaty of
Differential Equations
Differential
Drive Equations
Differential Equations
Formula Sheet for All Types of Polynomial Functions
Negative Unit
Step Function Graph
Differential Equations
Wolfram|Alpha
Differential
Geometry Equations
Graph of Unit Step Function
for Discrete and Continuous
Unit
Step Differential Equations
Step Function
Graph
Graph of Unit
Step Function
Example of
Step Function with Equation
Heaviside
Equations
Differential Equations
Cheat Sheet
Transfer Function
to Differential Equation
Father of
Differential Equations
Heaviside Step Function
Examples
Direction Fields
Differential Equations
Linear vs Nonlinear
Differential Equations
Differential Equations
Examples
Positive Step Function
Symbol
Heaviside
Equation
Solution of
Differential Equation
Heaviside Unit
Step Function Examples
Explore more searches like Step Function Differential Equations
Laplace
Transform
Linear
Algebra
Integrating
Factor
Linear vs
Nonlinear
Formula
Sheet
Cheat
Sheet
Particular
Solution
Bifurcation
Diagram
Euler
Equation
Phase
Plane
Convolution
Integral
Linear
Method
Phase
Diagram
Classical
Mechanics
Solution
Types
La Place
Method
Algebra
2
Engineering
Calculus
FlowChart
Visual
Representation
Integrating Factor
Formula
Math
Types
Ordinary
Higher-Order
1
Transient
Terms
Common
Hard
Examples
Linear
Worksheet
Calculus
Easy
Partial
Solution
Examples
Separable
People interested in Step Function Differential Equations also searched for
Wolfram|Alpha
System First
Order
Difference
Bernoulli
Equation
Integration
Different
Types
Second Order
Cheat Sheet
2nd
Table
Ordinary
Partial
Autoplay all GIFs
Change autoplay and other image settings here
Autoplay all GIFs
Flip the switch to turn them on
Autoplay GIFs
Image size
All
Small
Medium
Large
Extra large
At least... *
Customized Width
x
Customized Height
px
Please enter a number for Width and Height
Color
All
Color only
Black & white
Type
All
Photograph
Clipart
Line drawing
Animated GIF
Transparent
Layout
All
Square
Wide
Tall
People
All
Just faces
Head & shoulders
Date
All
Past 24 hours
Past week
Past month
Past year
License
All
All Creative Commons
Public domain
Free to share and use
Free to share and use commercially
Free to modify, share, and use
Free to modify, share, and use commercially
Learn more
Clear filters
SafeSearch:
Moderate
Strict
Moderate (default)
Off
Filter
Step Function Equation
Unit
Step Function Differential Equations
Step Function
Example Equation
Heaviside
Function Differential Equations
Unit Step
Graph
La Place
Differential Equation
Linear Ordinary
Differential Equations
Periodic
Step Function Equation
Laplace Transform
Differential Equations
Step Function
Examples La Place
Step Size
Differential Equation
Separable
Differential Equations
Step Function
Transformations
Differential Equation
Types
Heavy
Step Function Equation
Unit Step Function
Graph Calculator
Differential Equations Steps
Solving
Differential Equations
Solve Differential Equation Step
By
Function
with Different Equations
Graphic of One
Step Method Differential
Graphing
Differential Equations
A Differential Equation
with a Unit Step Input
First Order
Differential Equation
Scaled Unit
Step Function Equation
Step Down Function Equation
Format
Typs of
Differential Equations
Bueaty of
Differential Equations
Differential
Drive Equations
Differential Equations
Formula Sheet for All Types of Polynomial Functions
Negative Unit
Step Function Graph
Differential Equations
Wolfram|Alpha
Differential
Geometry Equations
Graph of Unit Step Function
for Discrete and Continuous
Unit
Step Differential Equations
Step Function
Graph
Graph of Unit
Step Function
Example of
Step Function with Equation
Heaviside
Equations
Differential Equations
Cheat Sheet
Transfer Function
to Differential Equation
Father of
Differential Equations
Heaviside Step Function
Examples
Direction Fields
Differential Equations
Linear vs Nonlinear
Differential Equations
Differential Equations
Examples
Positive Step Function
Symbol
Heaviside
Equation
Solution of
Differential Equation
Heaviside Unit
Step Function Examples
360×248
www.pinterest.com
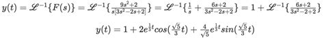
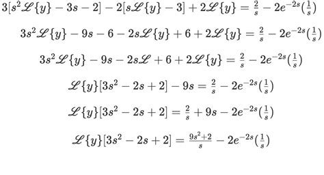
Differential Equations - Step Functions | Step function, Differe…
768×1024
scribd.com
Differential Equations STE…
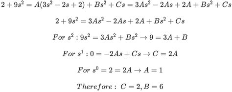
1174×183
studypug.com
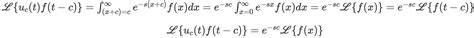
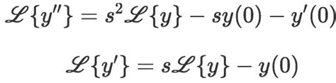
Solving differential equations with step functions | StudyPug
2624×726
studypug.com
Solving differential equations with step functions | StudyPug
Related Products
Step Function Graph
Piecewise Functions
Heaviside Step Function
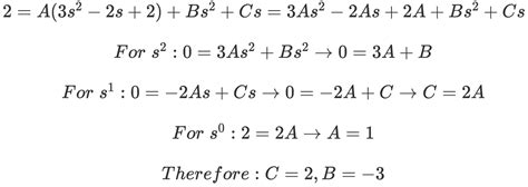
984×206
studypug.com
Solving differential equations with step functions | StudyPug
1374×163
studypug.com
Solving differential equations with step functions | StudyPug
436×117
studypug.com
Solving differential equations with step functions | StudyPug
1585×857
studypug.com
Solving differential equations with step functions | StudyPug
1610×207
studypug.com
Solving differential equations with step functions | StudyPug
Explore more searches like
Step Function
Differential Equations
Laplace Transform
Linear Algebra
Integrating Factor
Linear vs Nonlinear
Formula Sheet
Cheat Sheet
Particular Solution
Bifurcation Diagram
Euler Equation
Phase Plane
Convolution Integral
Linear Method
1658×589
studypug.com
Solving differential equations with step functions | StudyPug
1024×163
studypug.com
Solving differential equations with step functions | StudyPug
1128×98
studypug.com
Solving differential equations with step functions | StudyPug
1804×717
studypug.com
Solving differential equations with step functions | StudyPug
2557×209
studypug.com
Solving differential equations with step functions | StudyPug
570×141
studypug.com
Solving differential equations with step functions | StudyPug
650×93
studypug.com
Solving differential equations with step functions | StudyPug
910×59
studypug.com
Solving differential equations with step functions | StudyPug
1227×1080
chegg.com
Solved Differential Equations: Using unit st…
1162×1172
psu.pb.unizin.org
Section 4.4 Step functions – Differential …
3200×2400
www.wikihow.com
4 Ways to Solve Differential Equations - wikiHow
1280×1656
docsity.com
Step Functions-Differential Equa…
1620×2288
studypool.com
SOLUTION: Solving first or…
1280×720
dxorlvkyp.blob.core.windows.net
Differential Equations Step Functions at Roy Laster blog
People interested in
Step Function
Differential Equations
also searched for
Wolfram|Alpha
System First Order
Difference
Bernoulli Equation
Integration
Different Types
Second Order Cheat Sheet
2nd
Table
Ordinary Partial
1280×720
dxorlvkyp.blob.core.windows.net
Differential Equations Step Functions at Roy Laster blog
1193×537
dxorlvkyp.blob.core.windows.net
Differential Equations Step Functions at Roy Laster blog
1280×720
dxorlvkyp.blob.core.windows.net
Differential Equations Step Functions at Roy Laster blog
1220×1582
dxorlvkyp.blob.core.windows.net
Differential Equations Ste…
1280×1656
docsity.com
Step Functions-Differential Eq…
189×54
byjus.com
Step Function - Definition, Domain a…
320×320
ocw.mit.edu
Step and Delta Functions: Integral…
1024×958
chegg.com
Solved 6.4 Solving Differential Equation…
1200×628
testbook.com
Step Function: Domain, Range, Graph and Properties with Examples
850×543
researchgate.net
Step function curve. | Download Scientific Diagram
510×809
researchgate.net
1: a) Simple differentiable s…
320×320
researchgate.net
1: a) Simple differentiable step like function b) The d…
Some results have been hidden because they may be inaccessible to you.
Show inaccessible results
See more images
Recommended for you
Sponsored
Report an inappropriate content
Please select one of the options below.
Not Relevant
Offensive
Adult
Child Sexual Abuse
Feedback