The photos you provided may be used to improve Bing image processing services.
Privacy Policy
|
Terms of Use
Can't use this link. Check that your link starts with 'http://' or 'https://' to try again.
Unable to process this search. Please try a different image or keywords.
Try Visual Search
Search, identify objects and text, translate, or solve problems using an image
Drag one or more images here,
upload an image
or
open camera
Drop images here to start your search
To use Visual Search, enable the camera in this browser
All
Search
Images
Inspiration
Create
Collections
Videos
Maps
News
More
Shopping
Flights
Travel
Notebook
Top suggestions for Roc Example
ROC
Curve Example
Roc
Diagram
Bad ROC
Curve
ROC
Curve Graph
Example of Roc
Number
Roc
Table
ROC
Curve Figure
Sample ROC
Curve
Example Roc
Drill Slide
Malaysia
Roc Example
Area Under
ROC Curve
Drawing ROC
Curve
Example of Roc
Malaysian Number
Biogenic
Examples Roc
Example
of Good ROC Curve
Example of Roc
Drill Script
Binomial ROC
Curve Example
ROC
Curve Wexample
Example of an Roc
Optimum Graph
Receiver Operating Characteristic
Curve
What Does a Good
ROC Curve Look Like
Example of Roc
Curves for a Given Signal
ROC
Curve Classification Table
Roc
Curve in Detail Likelihood Ratio Example
Example of Roc
Curve Quality
Roc
Plot
What Is
ROC Curve
Example
of a Roc Quote
Roc
Graph
Straight Line
Roc
Show an an Example
of an Roc Graph
How to Draw ROC Curve
ROC Curve Example
for Metal Detector
ROC
Curve Classification Example
Example of Roc
Is Positive and Increasing
ROC
Curve Numerical Example
Example ROC
Curve Bad vs Good Model
Example
of Plant Manager ROCS
ROC
Curve Sample Picture
Perfect ROC
Curve
ROC
Curve Plot
ROC
Curve Plotter
Ideal ROC
Curve
Roc
Chart
Multi-Class
ROC Curve
Example of Roc
Curve in Machine Learning
Roc
Template
Perfect ROC
Curve Example
ROC
Curve 折线
Example
of a Multi-Class ROC Curve
Explore more searches like Roc Example
Retinol Correxion
Eye Cream
Nation
Logo
Graph Absolute
Cieling
Pathfinder
RPG
Real
Pictures
Skin Care
Products
Serum
Cream
Greek
Mythology
TV Show
Characters
Token
Art
Phoenix
Wings
Firming
Serum
Pathfinder
2E
TV Series
DVD
Sports
Kit
Skin Care
Logo
TV
Cast
New
VW
Mythological
Creatures
Bird
PNG
Curve
Graph
Dnd 5E
Art
Big
Bird
Season 2 Episode
24
Charles
Dutton
Curve
SVG
Dnd
5E
Mercedes
Car
Indium
Grey
Bird vs
Dragon
Giant
Bird
Cosmetics
Products
Curve
Types
Music
Drawing
Makeup
Products
Retinol Deep Wrinkle
Night Cream
Volkswagen
SUV
Dnd
PNG
Black
Background
PDX
Logo
Luffy Wano
Red
Monster
Art
Curve
Chart
Dark
Brown
Deep Wrinkle
Cream
Petrol Blue
Metallic
Convertible
Emblem
People interested in Roc Example also searched for
Retinol
Cream
Bird
Art
Royal
Family
Skin
Care
Golf
VW
Polo
Creature
Volkswagen
Show
Autoplay all GIFs
Change autoplay and other image settings here
Autoplay all GIFs
Flip the switch to turn them on
Autoplay GIFs
Image size
All
Small
Medium
Large
Extra large
At least... *
Customized Width
x
Customized Height
px
Please enter a number for Width and Height
Color
All
Color only
Black & white
Type
All
Photograph
Clipart
Line drawing
Animated GIF
Transparent
Layout
All
Square
Wide
Tall
People
All
Just faces
Head & shoulders
Date
All
Past 24 hours
Past week
Past month
Past year
License
All
All Creative Commons
Public domain
Free to share and use
Free to share and use commercially
Free to modify, share, and use
Free to modify, share, and use commercially
Learn more
Clear filters
SafeSearch:
Moderate
Strict
Moderate (default)
Off
Filter
ROC
Curve Example
Roc
Diagram
Bad ROC
Curve
ROC
Curve Graph
Example of Roc
Number
Roc
Table
ROC
Curve Figure
Sample ROC
Curve
Example Roc
Drill Slide
Malaysia
Roc Example
Area Under
ROC Curve
Drawing ROC
Curve
Example of Roc
Malaysian Number
Biogenic
Examples Roc
Example
of Good ROC Curve
Example of Roc
Drill Script
Binomial ROC
Curve Example
ROC
Curve Wexample
Example of an Roc
Optimum Graph
Receiver Operating Characteristic
Curve
What Does a Good
ROC Curve Look Like
Example of Roc
Curves for a Given Signal
ROC
Curve Classification Table
Roc
Curve in Detail Likelihood Ratio Example
Example of Roc
Curve Quality
Roc
Plot
What Is
ROC Curve
Example
of a Roc Quote
Roc
Graph
Straight Line
Roc
Show an an Example
of an Roc Graph
How to Draw ROC Curve
ROC Curve Example
for Metal Detector
ROC
Curve Classification Example
Example of Roc
Is Positive and Increasing
ROC
Curve Numerical Example
Example ROC
Curve Bad vs Good Model
Example
of Plant Manager ROCS
ROC
Curve Sample Picture
Perfect ROC
Curve
ROC
Curve Plot
ROC
Curve Plotter
Ideal ROC
Curve
Roc
Chart
Multi-Class
ROC Curve
Example of Roc
Curve in Machine Learning
Roc
Template
Perfect ROC
Curve Example
ROC
Curve 折线
Example
of a Multi-Class ROC Curve
1786×802
riptutorial.com
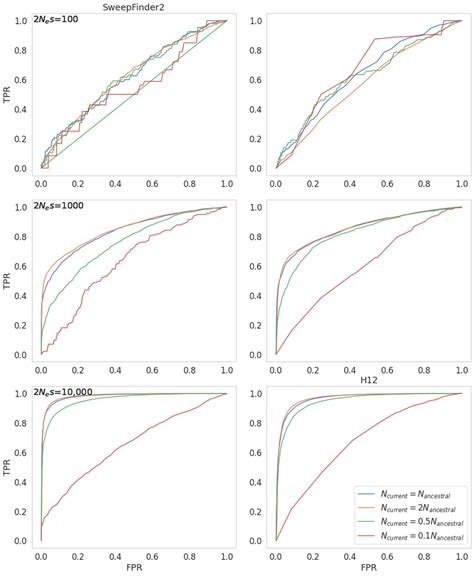
machine-learning Tutorial => ROC curves
804×775
researchgate.net
Example of a ROC curve | Download Scientific Diag…
1208×819
statology.org
How to Compare Two ROC Curves (With Example)
1238×1184
Stack Exchange
machine learning - draw roc curve on an example …
Related Products
Skin Care Products
Nation Clothing
Retinol Correxion Eye Cream
1460×1064
sharpsightlabs.com
The ROC Curve, Explained - Sharp Sight
940×940
nomidl.com
What is the ROC curve? - Nomidl
1919×1080
evidentlyai.com
How to explain the ROC AUC score and ROC curve?
1919×1080
evidentlyai.com
How to explain the ROC AUC score and ROC curve?
1919×1080
evidentlyai.com
How to explain the ROC AUC score and ROC curve?
1024×768
slideserve.com
PPT - ROC curve estimation PowerPoint Presentation, free do…
913×280
chegg.com
Solved What is ROC Curve. How you will Calculate the True | Chegg.com
Explore more searches like
Roc
Example
Retinol Correxion Ey
…
Nation Logo
Graph Absolute Ciel
…
Pathfinder RPG
Real Pictures
Skin Care Products
Serum Cream
Greek Mythology
TV Show Characters
Token Art
Phoenix Wings
Firming Serum
1462×1064
sharpsight.ai
Scikit Learn roc_curve, Explained - Sharp Sight
2116×974
chegg.com
Solved In this problem we will plot the ROC curve for the | Chegg.com
1200×1506
towardsdatascience.com
ROC Curve explained using …
565×516
researchgate.net
7: Example of ROC Curve. Model 1 performs bette…
601×574
researchgate.net
ROC Curve: True Positive vs False Positi…
1015×1015
chegg.com
Solved What is ROC Curve? How you will Calculate the Tru…
1017×765
vitalflux.com
ROC Curve & AUC Explained with Python Examples
GIF
1199×1200
datascienceblog.net
Interpreting ROC Curves, Precision-Recall Curves, and …
760×514
researchgate.net
ROC curve of true positive rate (sensitivity) as a function of ...
850×665
researchgate.net
ROC curves: True Positive Rate vs. False Positive Rate | Download ...
850×810
researchgate.net
ROC curves of false positive and true positive rates for various ...
475×381
researchgate.net
ROC curves comparing the false positive and true positive ratios for ...
640×480
Stack Exchange
Calculate ROC curve with true positive rate and false negative rate ...
637×523
researchgate.net
ROC Curve Plot of the True Positive Rate (Sensitivity) …
320×320
researchgate.net
ROC Curve Plot of the True Positive Rate (S…
1650×1656
subscription.packtpub.com
Machine Learning Algorithms
850×547
researchgate.net
ROC curves demonstrate the probability curve between true positi…
850×560
researchgate.net
The ROC curve representing the true positive rate versus false positive ...
People interested in
Roc
Example
also searched for
Retinol Cream
Bird Art
Royal Family
Skin Care
Golf
VW Polo
Creature
Volkswagen
Show
850×1033
researchgate.net
ROC curves, showing the chang…
850×308
researchgate.net
ROC curves, showing the change in true positive rate (TPR) as the false ...
525×433
mathworks.com
Compare Deep Learning Models Using ROC Curves - MATLAB & Simulink
660×473
researchgate.net
ROC of the true positives versus the false positives rates for the ...
640×640
researchgate.net
ROC curves (horizontal axis: false positive rate; vertical …
552×438
researchgate.net
True positive rate as a function of false positive rate (ROC curve ...
Some results have been hidden because they may be inaccessible to you.
Show inaccessible results
Report an inappropriate content
Please select one of the options below.
Not Relevant
Offensive
Adult
Child Sexual Abuse
Feedback