The photos you provided may be used to improve Bing image processing services.
Privacy Policy
|
Terms of Use
Can't use this link. Check that your link starts with 'http://' or 'https://' to try again.
Unable to process this search. Please try a different image or keywords.
Try Visual Search
Search, identify objects and text, translate, or solve problems using an image
Drag one or more images here,
upload an image
or
open camera
Drop images here to start your search
To use Visual Search, enable the camera in this browser
All
Search
Images
Inspiration
Create
Collections
Videos
Maps
News
More
Shopping
Flights
Travel
Notebook
Top suggestions for Forward Euler Method Formula
Forward Euler Formula
Forward Euler Method
Euler Forward
Difference Method
Improved
Euler Method Formula
Forward Euler Method
Equation
Forward Euler Method
S to Z
Forward Euler Method
Integration
Euler Method Formula
Differential Equation
Forward Euler
Rule
Foward
Euler Method
Forward Euler
Simulation
Forward
and Backward Euler Method
Forward Euler Formula
for Y and V
Forward Euler
Time Step
Euler Forward Method
Taylor
Backward Euler Method
Graph
Forward Euler
Numerical Scheme
Forward Euler
Methpd
Euler's Method
Calculus
Forward Euler Method
Hard Equation
What Is the Backward and
Forward Euler Method
Forward Euler
Approximation
Forward Euler Method
Graph Example
Finite Differencing
Forward Stepping Euler Method
Backward Vs.
Forward Euler Integration
Reverse
Euler Method
Forward Euler Method
La Place
Adaptive Forward Euler Method
Second Tolerance
Euler Method
of Appro
Forward Euler
Stability Condition
Euler Method
Fomrula
Backward Euler Formula
for S Convertion
Symplectic Euler Method
vs Forward Method
Forward Euler
Derivative
Adaptive Forward Euler Method
Using Tol2
Forward Euler
Drawing
Explicit Euler Method
Equation
Order of Accuracy for
Forward Euler
Euler Forward
Questions for State Space
Forward Euler
Discretization Method
Euler Method
Ode Visualsed
Euler's Method
Table
Forward Euler
Integrator
Forward Euler
for Angular Velocity Formula
Euler's Method Formula
Approximation
Euler Forward Methods
Discritizatiopn
Back Euler Method
Foward vs Backward
Integrator Based On
Euler Method
Position Over Time for Mass On Spring
Forward Euler
Euler Method
Vertical Movement
Explore more searches like Forward Euler Method Formula
Planar
Graph
Differential
Equations
Graph
Theory
Column
Buckling
Sin
Cos
Complex
Numbers
People interested in Forward Euler Method Formula also searched for
Cylindrical
Shell
Solving Quadratic
Equations
Quadratic
Equation
Quadratic Equation
Class 10
Quadratic Equation
Examples
Solve Quadratic
Equation
Assumed
Mean
Autoplay all GIFs
Change autoplay and other image settings here
Autoplay all GIFs
Flip the switch to turn them on
Autoplay GIFs
Image size
All
Small
Medium
Large
Extra large
At least... *
Customized Width
x
Customized Height
px
Please enter a number for Width and Height
Color
All
Color only
Black & white
Type
All
Photograph
Clipart
Line drawing
Animated GIF
Transparent
Layout
All
Square
Wide
Tall
People
All
Just faces
Head & shoulders
Date
All
Past 24 hours
Past week
Past month
Past year
License
All
All Creative Commons
Public domain
Free to share and use
Free to share and use commercially
Free to modify, share, and use
Free to modify, share, and use commercially
Learn more
Clear filters
SafeSearch:
Moderate
Strict
Moderate (default)
Off
Filter
Forward Euler Formula
Forward Euler Method
Euler Forward
Difference Method
Improved
Euler Method Formula
Forward Euler Method
Equation
Forward Euler Method
S to Z
Forward Euler Method
Integration
Euler Method Formula
Differential Equation
Forward Euler
Rule
Foward
Euler Method
Forward Euler
Simulation
Forward
and Backward Euler Method
Forward Euler Formula
for Y and V
Forward Euler
Time Step
Euler Forward Method
Taylor
Backward Euler Method
Graph
Forward Euler
Numerical Scheme
Forward Euler
Methpd
Euler's Method
Calculus
Forward Euler Method
Hard Equation
What Is the Backward and
Forward Euler Method
Forward Euler
Approximation
Forward Euler Method
Graph Example
Finite Differencing
Forward Stepping Euler Method
Backward Vs.
Forward Euler Integration
Reverse
Euler Method
Forward Euler Method
La Place
Adaptive Forward Euler Method
Second Tolerance
Euler Method
of Appro
Forward Euler
Stability Condition
Euler Method
Fomrula
Backward Euler Formula
for S Convertion
Symplectic Euler Method
vs Forward Method
Forward Euler
Derivative
Adaptive Forward Euler Method
Using Tol2
Forward Euler
Drawing
Explicit Euler Method
Equation
Order of Accuracy for
Forward Euler
Euler Forward
Questions for State Space
Forward Euler
Discretization Method
Euler Method
Ode Visualsed
Euler's Method
Table
Forward Euler
Integrator
Forward Euler
for Angular Velocity Formula
Euler's Method Formula
Approximation
Euler Forward Methods
Discritizatiopn
Back Euler Method
Foward vs Backward
Integrator Based On
Euler Method
Position Over Time for Mass On Spring
Forward Euler
Euler Method
Vertical Movement
1150×724
mathworld.wolfram.com
Euler Forward Method -- from Wolfram MathWorld
608×594
peeterjoot.com
Peeter Joot's Blog » forward Euler method
726×531
peeterjoot.com
Peeter Joot's Blog » forward Euler method
1394×723
peeterjoot.com
Peeter Joot's Blog » forward Euler method
Related Products
Euler's Method Book
Euler's Method Poster
Euler's Method T-Shirt
642×696
Chegg
Solved Forward Euler Method: The Forward …
736×414
www.pinterest.com
Forward Euler Method - Differential Equations in Action | Differential ...
615×128
chegg.com
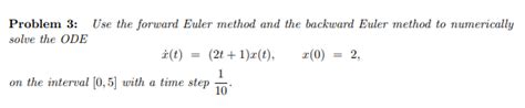
Solved Problem 3: Use the forward Euler method and the | Chegg.com
240×61
tutorial45.com
Euler Method Matlab Code - Tutorial45
1024×423
chegg.com
1) Find the Forward Euler's Method, Backward Euler's | Chegg.com
408×358
researchgate.net
4.1-Representation of forward Euler method | D…
1280×720
calculator-online.net
Euler's method calculator - Improved Euler Method Solver
Explore more searches like
Forward
Euler
Method
Formula
Planar Graph
Differential Equations
Graph Theory
Column Buckling
Sin Cos
Complex Numbers
1280×720
fity.club
Euler Method
1280×720
fity.club
Euler S Formula
850×489
researchgate.net
Schematic representation of the numerical method using forward Euler ...
902×336
chegg.com
Solved 1.) (8%) Use Euler's forward method (explicit | Chegg.com
700×548
chegg.com
Solved lem \# 2: An improvement to the Forward Euler method | C…
850×584
ResearchGate
5 Graphical representation of the forward Euler method to integrate ...
697×609
numerade.com
SOLVED: Forward/Backward Euler Method Numerical an…
558×368
researchgate.net
26 A comparison of the solution based on the explicit forward Euler ...
700×232
Chegg
Solved 1. Use forward Euler method to solve the heat | Chegg.com
1280×720
calcworkshop.com
How to do Euler's Method? (Simply Explained in 4 Powerful Examples)
1240×214
chegg.com
Solved (3) Prove that the forward Euler method for the heat | Chegg.com
1072×728
chegg.com
Solved Solve the following equation with forward Euler | …
936×512
chegg.com
I wonder how to solve this Forward Euler method for | Chegg.com
611×429
fity.club
Euler Method S Table Euler's Method · Differential Equation Numerical
People interested in
Forward Euler
Method Formula
also searched for
Cylindrical Shell
Solving Quadratic Eq
…
Quadratic Equation
Quadratic Equation Cla
…
Quadratic Equation Exa
…
Solve Quadratic Eq
…
Assumed Mean
1165×915
chegg.com
Solved please solve the question using Euler's Forw…
1067×415
chegg.com
Solved Solve the following equation with forward Euler | Chegg.com
1113×892
chegg.com
Solved A simple Euler forward solver Write a Euler forwar…
2474×607
chegg.com
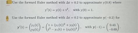
Solved Use the forward Euler method with Δt=0.2 to | Chegg.com
1629×150
chegg.com
Solved 1. Use (forward) Euler's method to approximate the | Chegg.com
700×367
chegg.com
Solved Use the forward Euler method to compute | Chegg.com
2248×962
chegg.com
Solved Suppose we apply the Forward Euler method to | Chegg.com
630×571
chegg.com
Solved (2) Euler forward method (without code) W…
887×189
chegg.com
Solved Perform one-time step of Forward Euler Method for the | Chegg.com
700×160
chegg.com
Solved Question 1: Use the Forward and Backward Euler's | Chegg.com
Some results have been hidden because they may be inaccessible to you.
Show inaccessible results
Top suggestions for
Forward Euler Method Formula
Forward Euler Formula
Forward Euler Method
Euler Forward Difference M
…
Improved Euler Method Form
…
Forward Euler Method Equa
…
Forward Euler Method S to Z
Forward Euler Method Integ
…
Euler Method Formula Diff
…
Forward Euler Rule
Foward Euler Method
Forward Euler Simulation
Forward and Backward Eu
…
Report an inappropriate content
Please select one of the options below.
Not Relevant
Offensive
Adult
Child Sexual Abuse
Feedback