The photos you provided may be used to improve Bing image processing services.
Privacy Policy
|
Terms of Use
Can't use this link. Check that your link starts with 'http://' or 'https://' to try again.
Unable to process this search. Please try a different image or keywords.
Try Visual Search
Search, identify objects and text, translate, or solve problems using an image
Drag one or more images here,
upload an image
or
open camera
Drop images here to start your search
To use Visual Search, enable the camera in this browser
All
Search
Images
Inspiration
Create
Collections
Videos
Maps
News
More
Shopping
Flights
Travel
Notebook
Top suggestions for Cos Theta Engineering Linearization
Sin
Theta
Sin Theta
Formula
Sin
Cos Theta
Sin 2
Theta
Cot Theta
Formula
Sin 3
Theta
Tan
Theta
Sin Cos
Identities
Sin Pi
Theta
A Sin
Theta B Cos Theta
Cos
Triangle
Sin Theta
Graph
Sin Theta
360
Cos Theta
Unit Circle
Sin Theta Cos Theta
Identity
Sin 4
Theta
Quadrant Sin
Cos Tan
Cosine
Theta
Sin
180
Cos
Negative Theta
Sin Cos
Tan Table
Y Sin
Theta
All Sin Tan
Cos
Sin 5
Theta
Sine
Theta
Graph of R 2
Cos Theta
Cos Theta
Alpha
Cos Theta
Vectors
Tan
90
Sin Cos
Tan Chart
Cosine Graph
Radians
Sin Theta
0
Trigonometry Sin
Cos Tan
Cos Theta
P by Q Triangle
Trig Identities
Cos Squared
X Sin
Theta Y Cos Theta
Sin Cos
Tan 30 45 60 Chart
Inverse
Trig
Sin2
Cos2
Sine and Cosine
Graphs
Sinh Cosh
Tanh
Trigonometry Sin Cos
Tan Formulas
Theta
vs Phi
Polar Graph of
Cos Theta
Sin Cos
Tan CSC Sec Cot Chart
Trig Tables
Trigonometry
1 Tan Square
Theta
Trig
Functions
Double Angle
Cosine
Angles of Sin Cos Tan
Explore more searches like Cos Theta Engineering Linearization
Polar
Graph
Dot
Product
Unit
Circle
Unit
Vector
Trigonometry
Formula
Expansion
Chart
Square D
Graph
Area
Triangle
Polar
Coordinate
Sum Angle
AP
Alpha
Pinus
Equation
Terms
Autoplay all GIFs
Change autoplay and other image settings here
Autoplay all GIFs
Flip the switch to turn them on
Autoplay GIFs
Image size
All
Small
Medium
Large
Extra large
At least... *
Customized Width
x
Customized Height
px
Please enter a number for Width and Height
Color
All
Color only
Black & white
Type
All
Photograph
Clipart
Line drawing
Animated GIF
Transparent
Layout
All
Square
Wide
Tall
People
All
Just faces
Head & shoulders
Date
All
Past 24 hours
Past week
Past month
Past year
License
All
All Creative Commons
Public domain
Free to share and use
Free to share and use commercially
Free to modify, share, and use
Free to modify, share, and use commercially
Learn more
Clear filters
SafeSearch:
Moderate
Strict
Moderate (default)
Off
Filter
Sin
Theta
Sin Theta
Formula
Sin
Cos Theta
Sin 2
Theta
Cot Theta
Formula
Sin 3
Theta
Tan
Theta
Sin Cos
Identities
Sin Pi
Theta
A Sin
Theta B Cos Theta
Cos
Triangle
Sin Theta
Graph
Sin Theta
360
Cos Theta
Unit Circle
Sin Theta Cos Theta
Identity
Sin 4
Theta
Quadrant Sin
Cos Tan
Cosine
Theta
Sin
180
Cos
Negative Theta
Sin Cos
Tan Table
Y Sin
Theta
All Sin Tan
Cos
Sin 5
Theta
Sine
Theta
Graph of R 2
Cos Theta
Cos Theta
Alpha
Cos Theta
Vectors
Tan
90
Sin Cos
Tan Chart
Cosine Graph
Radians
Sin Theta
0
Trigonometry Sin
Cos Tan
Cos Theta
P by Q Triangle
Trig Identities
Cos Squared
X Sin
Theta Y Cos Theta
Sin Cos
Tan 30 45 60 Chart
Inverse
Trig
Sin2
Cos2
Sine and Cosine
Graphs
Sinh Cosh
Tanh
Trigonometry Sin Cos
Tan Formulas
Theta
vs Phi
Polar Graph of
Cos Theta
Sin Cos
Tan CSC Sec Cot Chart
Trig Tables
Trigonometry
1 Tan Square
Theta
Trig
Functions
Double Angle
Cosine
Angles of Sin Cos Tan
685×147
chegg.com
Solved Linearization-using Taylor Series I_0 theta^Dot + | Chegg.com
700×620
chegg.com
Solved Question | Chegg.com
700×87
chegg.com
Solved Question | Chegg.com
700×89
chegg.com
Solved Question | Chegg.com
Related Products
Cos Theta Formula
Cos Theta Graph
Trigonometry Book
1184×219
chegg.com
Solved Find the linearization for: f(x)=cos(x) at a=π6.Then | Chegg.com
1024×498
numerade.com
SOLVED:Show that the linearization of $\sin \theta$ at $\theta=0$ is $L ...
899×416
chegg.com
Solved \& Try these examples, show linearization and sketch | Chegg.com
819×650
chegg.com
Solved Find the linearization at theta = a. f…
1128×191
linkedin.com
Theta Engineering | LinkedIn
700×156
chegg.com
Solved Determine the linearization of L(x) of f(x)=cos(2x) | Chegg.com
1008×604
chegg.com
Solved 5 Use a linearization to approximate cos (10). You | Chegg.…
Explore more searches like
Cos Theta
Engineering Linearization
Polar Graph
Dot Product
Unit Circle
Unit Vector
Trigonometry Formula
Expansion
Chart
Square D Graph
Area Triangle
Polar Coordinate
Sum Angle AP
Alpha Pinus
1014×141
numerade.com
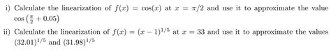
i) Calculate the linearization of f(x) = cos(x) at x = (π)/(2) and use ...
627×515
physics.stackexchange.com
geometry - Lambert's cosine law in 3D, why $\c…
568×396
chegg.com
Solved 1. Find the linearization of f(x)=cos(x) at point | Chegg.…
558×251
chegg.com
Solved 1. Find the linearization of f(x)=cos(x) at point | Chegg.com
629×467
aleksandarhaber.com
Introduction to Feedback Linearization – Fusion of Engineering, Control ...
1349×2161
yawin.in
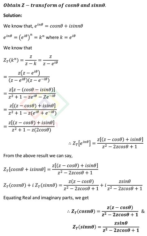
Obtain Z-transform of cosn(theta) an…
1225×2048
aleksandarhaber.com
Introduction to Feedback Lineari…
877×669
Stack Exchange
trigonometry - $A\cos(\theta) + B\sin(\theta)$ for complex $A,B ...
1348×282
chegg.com
Solved 3-The linearization of the functiong(x)=cos(x) at | Chegg.com
1140×295
chegg.com
Solved Determine the linearization of the function | Chegg.com
1024×498
chegg.com
Solved Determine the linearization of the function-4 cos (x | Chegg.com
1141×319
chegg.com
Solved Determine the linearization of the function | Chegg.com
383×82
chegg.com
Solved Linearize the following: f(x)=cos(θ) around θ=3π/2 | Chegg.com
1280×200
chegg.com
Solved i) Calculate the linearization of f(x)=cos(x) at | Chegg.com
1721×1351
coursehero.com
[Solved] Utilize differentials or linearization to estimate the value ...
610×416
Reddit
For x = r cos theta; y = r sin theta; gives dr/dx = cos theta why? (see ...
1210×1063
chegg.com
Solved Find linearization for f(x)=ex⋅cos(x) at x=0. Show | Che…
638×570
researchgate.net
6: Linearization methods, [60]. | Download Scientific Diagram
589×352
chegg.com
Solved Let f (x) = cos x.a. Find the linearization of f | Chegg.com
3000×2101
math.stackexchange.com
geometry - Why is the polar representation for lines $x \c…
1244×1760
semanticscholar.org
Figure 5 from A Novel Lineariz…
1332×1146
semanticscholar.org
Figure 3 from A Novel Linearization Method …
850×430
researchgate.net
Piecewise linearization of cos (θ it − θ jt ) for |θ it − θ jt | ≤ 10 ...
640×640
researchgate.net
Piecewise linearization of cos (θ it − θ jt ) for |θ it − θ jt | …
Some results have been hidden because they may be inaccessible to you.
Show inaccessible results
Report an inappropriate content
Please select one of the options below.
Not Relevant
Offensive
Adult
Child Sexual Abuse
Feedback