The photos you provided may be used to improve Bing image processing services.
Privacy Policy
|
Terms of Use
Can't use this link. Check that your link starts with 'http://' or 'https://' to try again.
Unable to process this search. Please try a different image or keywords.
Try Visual Search
Search, identify objects and text, translate, or solve problems using an image
Drag one or more images here,
upload an image
or
open camera
Drop images here to start your search
To use Visual Search, enable the camera in this browser
All
Search
Images
Inspiration
Create
Collections
Videos
Maps
News
More
Shopping
Flights
Travel
Notebook
Top suggestions for Power Example
Power Statement Examples
for Resumes
Power
Card Examples
Electrical
Power Examples
Power
of Attorney Example
Examples of Power
Points
Power
Rule Examples
Power
Function Examples
Power Examples
in a Circuit
Examples of Power
Physics
Examples
of Hard Power
Expert
Power Examples
Product of
Powers Examples
10 Examples
of Power Exercises
Electric Circuit
Power
Power
Presentation Examples
Relational
Power Examples
Power
Pose Examples
PowerChart
Math
Examples of Power
Calculations
Expressed
Powers Examples
Reward
Power Examples
Refferent
Power Examples
Example of Power
in Science
Soft
Power Examples
Power
Source Example
Examples of Power
Solutions
Exponent Power
Rule Examples
Examples of Power
of 3
Power
and Energy Examples
Power
Distance Examples
Examples of Power
Relations
Power
Series Examples
Calculating
Power Examples
Power Example
Drawing
Power
Activities. Examples
Presidential
Powers
Examples of Power
Make Feeble
Examples
of a Person Losing Power
Central Power
Pont Examples
Potential Energy
Examples
Examples
of Resume Power Statement
Microsoft Power
Platform Icon
Power
Physis
Examples
of Conditioned Power
Heading for a Interview
Examples On Power
Power
Structure Examples
Power
Statement Pitch Examples
Chemical Energy Transformation
Examples
Quotient of
Powers Property Examples
Power
Enteruption Examples
Explore more searches like Power Example
Clear
Background
Outline
Text
Data
Analysis
Icon.png
Good
Feedback
ClipArt
PNG
Content
Analysis
Academic
Essay
Case
Study
Financial Aid Appeal Letter
for Bad Grades
Peel Paragraph
Structure
No
Background
What Is
This
Academic
Report
Wh
Questions
Business
Profile
What Is
Science
Activity
Diagram
Research
Literature
Research
Paper
Statement
Letter
Mutualism Relationship
Drawing
Business Plan
Snapshot
Clip
Art
Stamp
ClipArt
Research
Design
Analytical
Essay
Formal Business
Report
Article
Writing
Good
Outline
Presentation
Visualization
Transparent
Background
Literature Review Introduction
Paragraph
Research Paper Summary
Paragraph
Original
Clip Art
Research
Procedure
Editorial
Writing
Research Proposal
Template
Data Gathering Procedure
Experimental Design
Stamp
PNG
Data Analysis
Report
Transparent
PNG
Outline
Paragraph
1
Paragraph
Simile
Icon
Transparent
PNG
Thesis
Article
People interested in Power Example also searched for
Research
Proposal
Go
Foods
Research Paper
Introduction
Reflection
Paper
Gas
Narrative
Text
Business Need
Statement
Critical Review
Essay
Word
Images
Literature
Review
Images.
Free
Background
Problem
College
SWOT-analysis
People interested in Power Example also searched for
Exponential
Distribution
Exponential
Function
Zipf's
Law
Stevens' Power
Law
Gamma
Correction
Pareto
Distribution
Exponential
Growth
Exponentiation
Autoplay all GIFs
Change autoplay and other image settings here
Autoplay all GIFs
Flip the switch to turn them on
Autoplay GIFs
Image size
All
Small
Medium
Large
Extra large
At least... *
Customized Width
x
Customized Height
px
Please enter a number for Width and Height
Color
All
Color only
Black & white
Type
All
Photograph
Clipart
Line drawing
Animated GIF
Transparent
Layout
All
Square
Wide
Tall
People
All
Just faces
Head & shoulders
Date
All
Past 24 hours
Past week
Past month
Past year
License
All
All Creative Commons
Public domain
Free to share and use
Free to share and use commercially
Free to modify, share, and use
Free to modify, share, and use commercially
Learn more
Clear filters
SafeSearch:
Moderate
Strict
Moderate (default)
Off
Filter
Power Statement Examples
for Resumes
Power
Card Examples
Electrical
Power Examples
Power
of Attorney Example
Examples of Power
Points
Power
Rule Examples
Power
Function Examples
Power Examples
in a Circuit
Examples of Power
Physics
Examples
of Hard Power
Expert
Power Examples
Product of
Powers Examples
10 Examples
of Power Exercises
Electric Circuit
Power
Power
Presentation Examples
Relational
Power Examples
Power
Pose Examples
PowerChart
Math
Examples of Power
Calculations
Expressed
Powers Examples
Reward
Power Examples
Refferent
Power Examples
Example of Power
in Science
Soft
Power Examples
Power
Source Example
Examples of Power
Solutions
Exponent Power
Rule Examples
Examples of Power
of 3
Power
and Energy Examples
Power
Distance Examples
Examples of Power
Relations
Power
Series Examples
Calculating
Power Examples
Power Example
Drawing
Power
Activities. Examples
Presidential
Powers
Examples of Power
Make Feeble
Examples
of a Person Losing Power
Central Power
Pont Examples
Potential Energy
Examples
Examples
of Resume Power Statement
Microsoft Power
Platform Icon
Power
Physis
Examples
of Conditioned Power
Heading for a Interview
Examples On Power
Power
Structure Examples
Power
Statement Pitch Examples
Chemical Energy Transformation
Examples
Quotient of
Powers Property Examples
Power
Enteruption Examples
2897×1413
physio-resources.com
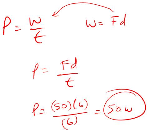
Physics 102 Clip 1: Practical Example of Power - PhysioResources
540×438
stickmanphysics.com
Work and Power Example Solutions - StickMan Physics
1909×1357
storage.googleapis.com
Work Power And Energy Example Problem at Janet Bryson blog
320×320
physicslessons.com
PhysicsLessons.com - X-Labs "The Future of Ph…
Related Products
Power Bank Examples
Power Drill Examples
Power Yoga Examples
405×170
physicstutorials.org
Power :: Physics Tutorials
903×768
Weebly
6. Work, energy, power - Mr. Tremblay's Class Site
750×450
mammothmemory.net
Power is distance multiplied by force over a given time
660×310
geeksforgeeks.org
Power - GeeksforGeeks
1:29:23
byjus.com
Solving Complete NCERT Exercise Questions of Work and Energy Class 9 Science (Physics) | CBSE Exams
1024×768
mrsedwardsclass.weebly.com
Work and Power Practice - Mrs. Edwards
Power Examples Psychology
See more results
Power Examples Sociology
See more results
Power Examples Math
See more results
465×177
exam-corner.com
Work, Energy and Power – Exam-Corner
1024×768
slideserve.com
PPT - Work and Power PowerPoint Presentation, free download - ID:3…
481×620
shutterstock.com
3+ Thousand Physics Work Po…
691×383
alevelphysics.co.uk
Work, Energy & Power - A-Level Physics Revision Notes
340×213
garagegymrevisited.com
Powerlifting Vs Weightlifting - The Final Battle... | Garage Gym Re…
1024×768
slideserve.com
PPT - Work and Power PowerPoint Presentation, free download - ID:5075259
2048×1536
slideshare.net
Work, energy & power physics | PPT
472×423
stickmanphysics.com
Work and Power - StickMan Physics
1152×517
eczstudytool.com
Work, Energy and Power Tutorial - Physics Revision
638×478
slideshare.net
WORK POWER AND ENERGY | PPTX
600×854
aplusphysics.com
Intro to Work & Power - Regent…
1080×1080
physicscalculations.com
How to Calculate Power in Physics
1024×768
SlideServe
PPT - Work, Power, and Energy PowerPoint Presentation, free download ...
960×720
blogspot.com
iGCSE Physics: Power
500×375
tes.com
AS Physics - Work done and Power | Teaching Resources
559×550
opentextbc.ca
Power, Work & Energy – Foundations of Physics
People interested in
Power Example
also searched for
Exponential Distribution
Exponential Function
Zipf's Law
Stevens' Power Law
Gamma Correction
Pareto Distribution
Exponential Growth
Exponentiation
1536×721
opentextbc.ca
Power, Work & Energy – Foundations of Physics
350×350
www.teacherspayteachers.com
The Power Lifting Challenge (Calculating …
320×414
slideshare.net
Work, Power & Energy | PDF
500×375
tes.com
Work & Power - A Level Physics | Teaching Resources
320×240
slideshare.net
Physics 10 - Work and Power.pptx
320×240
slideshare.net
Physics 10 - Work and Power.pptx
GIF
300×400
quizlet.com
Chapters 8 and 9: Work, Power, and …
400×474
allen.in
Work, Energy and Power| Definition,Typ…
400×628
allen.in
Work, Energy and Power| Definitio…
Some results have been hidden because they may be inaccessible to you.
Show inaccessible results
Report an inappropriate content
Please select one of the options below.
Not Relevant
Offensive
Adult
Child Sexual Abuse
Feedback