The photos you provided may be used to improve Bing image processing services.
Privacy Policy
|
Terms of Use
Can't use this link. Check that your link starts with 'http://' or 'https://' to try again.
Unable to process this search. Please try a different image or keywords.
Try Visual Search
Search, identify objects and text, translate, or solve problems using an image
Drag one or more images here,
upload an image
or
open camera
Drop images here to start your search
To use Visual Search, enable the camera in this browser
All
Search
Images
Inspiration
Create
Collections
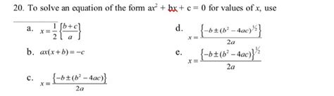
Videos
Maps
News
More
Shopping
Flights
Travel
Notebook
Top suggestions for AX 2 Bx C 0 Flowgorithm
Flowgorithm
Examples
Flowgorithm
Logo
Flowchart
Flowgorithm
Hangman
Flowgorithm
Galgje
Flowgorithm
Flowgorithm
Array
Flowgorithm
Book
Flowgorithm
Esercizi
Flowgorithm
Chart for Painting a Fence
Flowgorithm
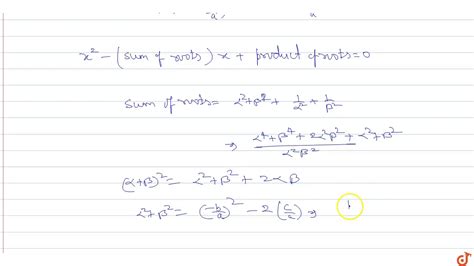
Equations
Flowgorithm
Icon
Collatz
Flowgorithm
Recursion
Flowchart
Flowgorithm
Illustration
Simple
Flowgorithm
Flowgorithm
Boss Fight
Ejercicios
Flowgorithm
Flowgorithm
Sybols
For Loop
Flowchart
Oscar Wilde
Portrait
Nested Loop
Flowchart
Flowgorithm
Float
Flowgorithm
Symbol DS
Flowgorithm
Pro Design
Flowgorithm
Animation
Flowgorithm
Module
Flowgorithm
Triangle
Subroutine
Flowchart
Falling Distance
Flowgorithm
Process Flow Chart
Diagram
Flowgorithm
Comment. Example
Programming Flowchart
Symbols
Flowgorithm
Logo.png
Flowchart Function
Symbol
Tallest Among 11 Candles
Flowgorithm Example
Recursive
Flowchart
Stream Overlay
Template
Draw a Rhombus in
Flowgorithm
Flowgorithm
Awnsers
Flowgorithm
Esercizi CICLI
Flowgorithms
Dice
Devin Cook
Flowgorithm
Aturan Dalam Membuat
Flowchart
Flowgorithm
Average Sign
HelloWorld
Flow Chart
Algorigramme
Flowgorithm
Дасгал Загвар
Flow Chart
for Quiz
Flowchart
Condition
How to Draw a Square in
Flowgorithm
Explore more searches like AX 2 Bx C 0 Flowgorithm
Draw
Rhombus
Average
Sign
Matrix
Addition
Complex
Flowchart
Process
Symbol
Array
Example
Square
Angle
Different
Symbols
Fibonacci
Sequence
Quadratic
Equation
Membuat
Kopi
Multiplication
Table
Dice
Roller
People interested in AX 2 Bx C 0 Flowgorithm also searched for
Back
Head
Clip
Art
Stihl
Chainsaw
Microsoft
Dynamics
Bass
PNG
Crown
ClipArt
Logo
Design
Dance
Logo
Man
Logo
Polk Magnifi
Mini
Border
Clip Art
Vector Art
PNG
Dance
Logo.png
Ludy
Qig
Men
Logo.png
Cross
PNG
Transparent
Background
Technical Course
Logo
Cartoon
Png
Axe
50 Reloading
PNG
Logo
SVG
Edge
Pink
4x4
Amine
Logo
Silhouette
Cartoon
VaxxeeOutset
Autos
Cartoon
Clip Art
Tool
Autoplay all GIFs
Change autoplay and other image settings here
Autoplay all GIFs
Flip the switch to turn them on
Autoplay GIFs
Image size
All
Small
Medium
Large
Extra large
At least... *
Customized Width
x
Customized Height
px
Please enter a number for Width and Height
Color
All
Color only
Black & white
Type
All
Photograph
Clipart
Line drawing
Animated GIF
Transparent
Layout
All
Square
Wide
Tall
People
All
Just faces
Head & shoulders
Date
All
Past 24 hours
Past week
Past month
Past year
License
All
All Creative Commons
Public domain
Free to share and use
Free to share and use commercially
Free to modify, share, and use
Free to modify, share, and use commercially
Learn more
Clear filters
SafeSearch:
Moderate
Strict
Moderate (default)
Off
Filter
Flowgorithm
Examples
Flowgorithm
Logo
Flowchart
Flowgorithm
Hangman
Flowgorithm
Galgje
Flowgorithm
Flowgorithm
Array
Flowgorithm
Book
Flowgorithm
Esercizi
Flowgorithm
Chart for Painting a Fence
Flowgorithm
Equations
Flowgorithm
Icon
Collatz
Flowgorithm
Recursion
Flowchart
Flowgorithm
Illustration
Simple
Flowgorithm
Flowgorithm
Boss Fight
Ejercicios
Flowgorithm
Flowgorithm
Sybols
For Loop
Flowchart
Oscar Wilde
Portrait
Nested Loop
Flowchart
Flowgorithm
Float
Flowgorithm
Symbol DS
Flowgorithm
Pro Design
Flowgorithm
Animation
Flowgorithm
Module
Flowgorithm
Triangle
Subroutine
Flowchart
Falling Distance
Flowgorithm
Process Flow Chart
Diagram
Flowgorithm
Comment. Example
Programming Flowchart
Symbols
Flowgorithm
Logo.png
Flowchart Function
Symbol
Tallest Among 11 Candles
Flowgorithm Example
Recursive
Flowchart
Stream Overlay
Template
Draw a Rhombus in
Flowgorithm
Flowgorithm
Awnsers
Flowgorithm
Esercizi CICLI
Flowgorithms
Dice
Devin Cook
Flowgorithm
Aturan Dalam Membuat
Flowchart
Flowgorithm
Average Sign
HelloWorld
Flow Chart
Algorigramme
Flowgorithm
Дасгал Загвар
Flow Chart
for Quiz
Flowchart
Condition
How to Draw a Square in
Flowgorithm
1125×381
gauthmath.com
Solved: a) ax+bx^2+c=0 Opção 1 b) ax+b+cx^2=0 Opção 2 c) ax^2+bx+c=0 ...
1000×217
gauthmath.com
Solved: The graph of y=ax^2+bx+c is shown below. Determine the solution ...
1000×1131
gauthmath.com
Solved: The graph of y=ax^2+bx+c is sh…
1125×729
gauthmath.com
Solved: ax^2-bx-c=0 udmunluolai a-b-c miy -12 [algebra]
720×540
tessshebaylo.com
Solve The Quadratic Equation Ax2 Bx C 0 - Tessshebaylo
1000×1126
gauthmath.com
Solved: ax^2+bx+c=0 then identify the valu…
702×295
chegg.com
Solved ax2+bx+c=0 | Chegg.com
1024×779
tessshebaylo.com
How To Solve Quadratic Equation Ax2 Bx C 0 - Tessshebaylo
1024×692
tessshebaylo.com
How To Solve Quadratic Equation Ax2 Bx C 0 - Tessshebaylo
1024×768
studylib.net
Factoring Ax2+bx+c
541×417
blogspot.com
Solve This Sum: ax^2 + bx + c = 0 and bx^2 + cx + a = 0 have a co…
1280×720
tessshebaylo.com
Solving Quadratic Equations Of The Form Ax2 Bx C 0 - Tessshebaylo
Explore more searches like
AX 2 Bx C 0
Flowgorithm
Draw Rhombus
Average Sign
Matrix Addition
Complex Flowchart
Process Symbol
Array Example
Square Angle
Different Symbols
Fibonacci Sequence
Quadratic Equation
Membuat Kopi
Multiplication Table
1683×592
chegg.com
Solved ax2-bx-c=0 for aAnswer: | Chegg.com
960×720
worksheets.clipart-library.com
9-6: FACTORING TRINOMIALS OF THE TYPE AX 2 + BX + C Essenti…
1024×768
slideserve.com
PPT - 2c: Solving ax 2 + bx + c = 0. PowerPoint Presentation, free ...
862×773
tessshebaylo.com
Solving Quadratic Equations Of The Form Ax2 Bx C 0 - T…
2046×1365
tessshebaylo.com
Solving Quadratic Equations Of The Form Ax2 Bx C 0 - Tesssh…
1024×388
chegg.com
Solved Show that if ax^2 + bx + c = 0 for all x, then a = b | Chegg.com
394×215
gauthmath.com
Solved: The equation ax^2+bx+c=0 is solved graphical…
827×162
gauthmath.com
Solved: The equation ax^2+bx+c=0 is solved graphically by finding the ...
888×915
gauthmath.com
Solved: The equation ax^2+bx…
516×738
chegg.com
Solved Step 1 ax2 + bx + C …
911×1038
fity.club
Flowgorithm
700×130
chegg.com
Solved plese answer it in a flowchart format Ax^2+ Bx+ C =0 | Chegg.com
1302×588
Chegg
Solved Suppose that S = {ax2 + bx+c: a, b,c € R, a>0} is the | Chegg.com
976×460
chegg.com
Solved The roots of the quadratic equation ax^2 + bx + c = 0 | Chegg.com
762×247
chegg.com
Solved The solutions to the equation ax2+bx+c=0 are given | Chegg.com
1218×886
chegg.com
Solved 1. Let ax2 +bx+c= 0 be a quadratic equation with a | Ch…
1024×768
SlideServe
PPT - 9.4: FACTORING TO SOLVE ax 2 + bx + c = 0 Po…
People interested in
AX
2 Bx C 0 Flowgorithm
also searched for
Back Head
Clip Art
Stihl Chainsaw
Microsoft Dynamics
Bass PNG
Crown ClipArt
Logo Design
Dance Logo
Man Logo
Polk Magnifi Mini
Border Clip Art
Vector Art PNG
960×720
worksheets.clipart-library.com
9-6: FACTORING TRINOMIALS OF THE T…
775×647
chegg.com
Solved The quadratic equation ax^2 + bx + …
700×203
chegg.com
Solved To solve an equation of the form ax^2 + bx+ c = 0 for | Chegg.com
1156×1312
chegg.com
Solved The equation ax^2 …
849×233
Chegg
Solved The equation ax2 + bx + c = 0 has the solution x-0. | Chegg.com
1000×873
gauthmath.com
Solved: The equation y=ax^2+bx+c is graphed on th…
Some results have been hidden because they may be inaccessible to you.
Show inaccessible results
Report an inappropriate content
Please select one of the options below.
Not Relevant
Offensive
Adult
Child Sexual Abuse
Feedback